Compreender a diferença entre velocidade de corte e velocidade de rotação é crucial para obter usinagem estável, um bom acabamento superficial e maior vida útil da ferramenta. Muitos operadores de máquinas confundem esses dois conceitos, mas eles são distintos. A velocidade de corte descreve a rapidez com que a aresta de corte se move sobre o material, enquanto a velocidade de rotação (RPM) refere-se à velocidade de rotação da ferramenta.
Em usinagem CNC, a escolha da velocidade de corte e da velocidade do fuso adequadas pode reduzir o calor, prevenir o desgaste da ferramenta e melhorar a eficiência da usinagem. Este guia explica a relação entre velocidade de corte e velocidade do fuso, como calculá-las e como elas interagem para diferentes materiais, como aço, aço inoxidável e alumínio.
A velocidade de corte refere-se à velocidade linear com que a aresta de corte da ferramenta se move sobre a superfície da peça. Geralmente é medida em metros por minuto (m/min) ou pés de superfície por minuto (SFM). Ao contrário da velocidade de rotação do fuso, que descreve a rapidez com que a ferramenta gira, a velocidade de corte concentra-se na velocidade real de contato entre a ferramenta e o material.
A seleção da velocidade de corte correta é crucial, pois afeta diretamente a vida útil da ferramenta, a geração de calor, a formação de cavacos e a estabilidade geral da usinagem. Velocidades de corte mais altas produzem mais calor e podem reduzir a vida útil da ferramenta, enquanto velocidades muito baixas podem causar má evacuação de cavacos e formação de aresta postiça.
A velocidade de corte também varia dependendo do material que está sendo usinado. Por exemplo, o alumínio permite velocidades de corte muito altas, enquanto o aço inoxidável requer velocidades significativamente menores devido à sua dureza e sensibilidade ao calor. As ferramentas de metal duro modernas geralmente suportam velocidades de corte mais altas do que as ferramentas de aço rápido (HSS).
Na usinagem CNC, a velocidade de corte serve como base para o cálculo da velocidade do fuso (RPM) e para garantir operações eficientes de fresagem, torneamento e furação.

A velocidade de rotação do fuso refere-se à velocidade de rotação da ferramenta ou da peça de trabalho, medida em rotações por minuto (RPM). Ela indica quantas vezes a ferramenta gira em um minuto. Enquanto a velocidade de corte se concentra no movimento linear da ferramenta sobre o material, a velocidade de rotação do fuso descreve a rotação da ferramenta em si.
A velocidade do fuso é diretamente influenciada pelo diâmetro da ferramenta. Ferramentas menores exigem rotações por minuto (RPM) mais altas para atingir a mesma velocidade de corte, enquanto ferramentas maiores precisam de RPM mais baixas para evitar superaquecimento e vibração excessivos. É por isso que a troca do tamanho da ferramenta sempre exige o recálculo da velocidade do fuso.
Escolher a velocidade de rotação correta é essencial para evitar vibrações, quebra da ferramenta, acabamento superficial ruim e desgaste excessivo. Rotações muito altas podem superaquecer a aresta de corte, enquanto rotações muito baixas podem causar atrito em vez de corte.
Em fresamento e torneamento CNC, a velocidade do fuso trabalha em conjunto com a velocidade de corte e a taxa de avanço para garantir um desempenho de usinagem estável. É um parâmetro fundamental na programação do percurso da ferramenta, especialmente ao cortar diferentes materiais, como aço, alumínio e aço inoxidável.

Embora a velocidade de corte e a velocidade do fuso estejam relacionadas, elas descrevem dois aspectos completamente diferentes da usinagem:
A velocidade de corte é linear; a velocidade do fuso é rotacional.
A velocidade de corte mede a rapidez com que a aresta de corte se move sobre a superfície do material.
A velocidade do fuso mede a rapidez com que a ferramenta gira em RPM (rotações por minuto).
A velocidade de corte permanece constante; a velocidade do fuso varia com o diâmetro da ferramenta.
Os operadores de máquinas escolhem a velocidade de corte com base no material (aço, aço inoxidável, alumínio).
A velocidade do fuso deve ser calculada de acordo com o diâmetro da ferramenta para corresponder à velocidade de corte.
A velocidade de corte afeta o calor e o desgaste da ferramenta.
A alta velocidade de corte aumenta o calor e reduz a vida útil da ferramenta.
Uma baixa velocidade de corte pode causar atrito e má formação de cavacos.
A velocidade do fuso afeta a estabilidade e o acabamento da superfície.
Rotações por minuto (RPM) em excesso podem causar vibração ou trepidação.
Uma rotação muito baixa resulta em superfícies ásperas e cortes ineficientes.
A velocidade de corte determina a rotação por minuto (RPM).
A velocidade de corte é o ponto de partida.
A velocidade do fuso (RPM) é calculada a partir da fórmula da velocidade de corte.
Compreender essas diferenças ajuda a garantir um melhor desempenho de usinagem, maior vida útil da ferramenta e programação mais precisa em operações CNC.
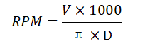
O cálculo preciso da velocidade de corte e da velocidade do fuso é essencial para uma usinagem CNC eficiente e segura. Veja como funciona:
A velocidade de corte (V) é geralmente medida em metros por minuto (m/min) ou pés de superfície por minuto (SFM).
A fórmula para calcular a velocidade de corte é:

V = velocidade de corte
D = diâmetro da ferramenta
RPM = velocidade do fuso
Isso demonstra que a velocidade de corte depende tanto da velocidade do fuso quanto do diâmetro da ferramenta.
Se você souber a velocidade de corte desejada, a velocidade do fuso pode ser calculada:
Ajuste o valor de D para corresponder ao diâmetro da ferramenta em milímetros.
Para polegadas, converta SFM para a unidade apropriada.
Fresa de topo de pequeno diâmetro: requer alta rotação (RPM) para atingir a velocidade de corte recomendada.
Fresa de grande diâmetro: requer menor rotação (RPM) para manter a mesma velocidade de corte.
O alumínio permite velocidades de corte mais altas; o aço inoxidável requer velocidades mais baixas para evitar o superaquecimento.
Sempre verifique as recomendações do fabricante da ferramenta quanto à velocidade de corte.
Utilize software CAM ou calculadoras para garantir a rotação correta do motor (RPM).
Combine a velocidade de rotação correta com a taxa de avanço adequada para obter uma usinagem ideal.
Ao entender essas fórmulas, você pode definir a velocidade de corte e a velocidade do fuso corretas para maximizar a vida útil da ferramenta, reduzir o calor e obter um melhor acabamento superficial.
O diâmetro da ferramenta desempenha um papel crucial na determinação da velocidade do fuso para uma determinada velocidade de corte. Compreender essa relação ajuda a prevenir danos à ferramenta e garante um desempenho de usinagem consistente.
Ferramentas de pequeno diâmetro precisam girar mais rápido para manter a mesma velocidade de corte.
Exemplo: Uma fresa de topo de 10 mm requer uma rotação por minuto (RPM) muito maior do que uma fresa de 50 mm na mesma velocidade de corte.
Altas rotações por minuto (RPM) em ferramentas pequenas aumentam o risco de vibração, portanto, equilibrar a velocidade do fuso e a taxa de avanço é importante.
Ferramentas de grande diâmetro cobrem uma área maior por revolução.
Rotações mais baixas evitam o superaquecimento e reduzem o desgaste da ferramenta.
Usar a rotação por minuto (RPM) incorreta em ferramentas grandes pode levar a um acabamento superficial ruim ou à quebra da ferramenta.
fresas de topoAs brocas, furadeiras e ferramentas de mandrilamento exigem ajustes específicos na velocidade do fuso.
Sempre recalcule a RPM ao trocar o tamanho da ferramenta.
Utilize software CAM ou calculadoras de fuso para garantir a precisão.
A velocidade de corte e a rotação do fuso adequadas são cruciais para a longevidade da ferramenta e a eficiência da usinagem. Configurações incorretas podem levar rapidamente a danos na ferramenta ou peças de baixa qualidade.
Temperatura muito alta: Gera calor excessivo, causando desgaste rápido da ferramenta ou lascamento das bordas.
Muito baixo: Leva ao atrito em vez do corte, criando uma aresta postiça (BUE) e um acabamento superficial ruim.
A velocidade de corte ideal equilibra a geração de calor, a formação de cavacos e a vida útil da ferramenta.
Rotações por minuto (RPM) muito altas: Podem causar vibração, trepidação e falha prematura da ferramenta.
Rotações muito baixas: Reduzem a eficiência de corte e podem danificar a superfície do material.
A rotação adequada garante um corte estável e acabamentos de superfície precisos.
A velocidade de corte e a velocidade do fuso trabalham em conjunto: a velocidade de corte define o objetivo, e a velocidade do fuso se ajusta com base no diâmetro da ferramenta.
A combinação correta reduz o desgaste, melhora o acabamento da superfície e maximiza a taxa de remoção de material (MRR).
O aço e o aço inoxidável exigem velocidades de corte mais baixas para evitar o superaquecimento.
O alumínio e metais mais macios permitem velocidades e rotações por minuto (RPM) mais elevadas.
As ferramentas de metal duro suportam velocidades de corte mais altas em comparação com as ferramentas de aço rápido (HSS).
Diferentes materiais exigem diferentes velocidades de corte e rotações do fuso para atingir o desempenho ideal de usinagem. A seleção dos parâmetros corretos garante maior vida útil da ferramenta, melhor acabamento superficial e maior eficiência.
Aço
Velocidade de corte: 50–120 m/min (dependendo da dureza e da liga).
Utilize uma rotação por minuto (RPM) moderada, baseada no diâmetro da ferramenta.
Velocidades mais baixas ajudam a evitar o acúmulo de calor e o desgaste da ferramenta.

Aço inoxidável
Velocidade de corte: 30–80 m/min (materiais mais duros exigem corte mais lento).
A velocidade do fuso deve ser reduzida para evitar vibrações e lascas nas bordas.
O uso de líquido refrigerante é altamente recomendado para controlar a temperatura.
Alumínio
Velocidade de corte: 200–600 m/min (metal macio e fácil de usinar).
Altas velocidades de rotação do fuso permitem a remoção eficiente de material.
Ajuste a taxa de avanço para evitar vibrações com ferramentas de pequeno diâmetro.
Latão, cobre, plásticos
Latão: velocidades de corte moderadas, fluxo de cavacos suave.
Cobre: velocidade reduzida para evitar o endurecimento por trabalho.
Plásticos: alta velocidade, baixa alimentação e evacuação cuidadosa dos cavacos.
Considerações sobre o material da ferramenta
Aço rápido (HSS): velocidades de corte mais baixas, maior tempo de contato.
Ferramentas de metal duro: Suportam velocidades e rotações por minuto mais altas para usinagem mais rápida.
Siga sempre as velocidades recomendadas pelo fabricante para o tipo de ferramenta.
Os erros mais comuns na configuração da velocidade de corte e da rotação do fuso geralmente decorrem do tratamento de todos os materiais da mesma forma. Cada material requer sua própria velocidade de corte recomendada, portanto, usar um valor universal leva rapidamente ao desgaste da ferramenta e a um acabamento superficial ruim. Outro erro frequente é ignorar o diâmetro da ferramenta — ferramentas pequenas devem operar em rotações mais altas, enquanto ferramentas maiores requerem rotações mais baixas. Muitos operadores também configuram a rotação do fuso muito alta, causando superaquecimento, queimaduras e soldagem de cavacos, enquanto uma rotação muito baixa leva ao atrito em vez do corte. Escolher uma velocidade de corte que não corresponda ao material da ferramenta também é um problema comum, já que o aço rápido (HSS) e o metal duro requerem parâmetros diferentes. Por fim, a quantidade insuficiente de fluido de corte, especialmente ao usinar aço inoxidável ou ligas de alta temperatura, aumenta o calor e reduz significativamente a vida útil da ferramenta.
1. Qual a diferença entre velocidade de corte e velocidade do fuso?
A velocidade de corte refere-se à rapidez com que a aresta de corte se move sobre a superfície do material (medida em m/min ou ft/min). A velocidade do fuso é a velocidade de rotação do fuso em RPM. A velocidade de corte determina a RPM correta com base no diâmetro da ferramenta.
2. Por que a velocidade de corte é importante na usinagem CNC?
Porque controla o calor, a formação de cavacos e o desgaste da ferramenta. A velocidade de corte adequada melhora a vida útil da ferramenta, o acabamento superficial e a eficiência geral da usinagem.
3. Posso usar a mesma velocidade de corte para ferramentas de metal duro e de aço rápido?
Não. As ferramentas de metal duro podem operar em velocidades muito mais altas porque toleram melhor o calor. As ferramentas de aço rápido (HSS) precisam de velocidades mais baixas para evitar queimaduras.
4. O que acontece se a velocidade do meu fuso for muito alta?
Você poderá observar superaquecimento, lascas azuis, queima da ferramenta ou falha prematura da ferramenta.
5. O que acontece se a velocidade do meu fuso estiver muito baixa?
A ferramenta fricciona em vez de cortar, causando acabamento superficial ruim, calor excessivo e usinagem ineficiente.
6. O líquido de arrefecimento e a lubrificação afetam a velocidade recomendada?
Sim. Com fluido de corte adequado, você geralmente pode operar em velocidades um pouco mais altas e obter uma vida útil da ferramenta melhor, especialmente ao cortar aço inoxidável ou superligas.
Compreender a diferença entre velocidade de corte e velocidade do fuso é essencial para obter usinagem estável, eficiente e econômica. Quando esses dois parâmetros são configurados corretamente, você obtém acabamentos mais suaves, maior vida útil da ferramenta e maior produtividade — exatamente o que toda oficina de usinagem CNC precisa. Sempre comece com as tabelas de velocidades recomendadas, aplique as fórmulas adequadas e faça ajustes finos com base nas suas condições reais de corte.
Se você está procurando por algo confiável máquinas CNC Com centros de usinagem projetados para precisão, durabilidade e aplicações industriais exigentes, que oferecem desempenho consistente com controle preciso de velocidade, a YANGSEN fornece equipamentos de usinagem. Entre em contato com nossa equipe a qualquer momento para obter suporte técnico ou um orçamento personalizado para suas necessidades de usinagem.